Volvo N7 med framflyttad axel

Här träffas vi och kanske ställer en fråga eller lämnar ett förslag som andra har en lösning eller synpunkter på. Kom ihåg att det skall handla om lastbilsnostalgi.

Moderatorer: Anders Ason, Moderatorer

Volvo N7 med framflyttad axel

Inläggav peterhummel » 02 maj 2019, 06:24

När N 7/10/12 serien kom här i Australien 1974 (tror jag), hade bilarna en framflyttad framaxel. Jag kanske har fel, men jag inbillar mig att de bara var avsedda för vår marknad. Efter något, eller några år såldes bara de normala N-bilarna. Rätt så många gick som boggie grusbilar, naturligtvis med tandemdrift. Jag har i desperation letat efter bilder, men det bästa jag kan, är denna länken till en lastbilssäljare. Vår dollar står i lite över 6 kronor, så den blir nog inte så lättsåld i det skicket den ser ut att vara. Notera de annorlunda framskärmarna.

https://www.farmmachinerysales.com.au/items/details/1974-volvo-n715/SSE-AD-2419937/?Cr=5&psq=(And.Service.Farmmachinerysales._.Make.Volvo._.Category.Trucks._.Price.range(..10000).)&pso=0&pss=Premium

Peter
peterhummel
 
Inlägg: 100
Blev medlem: 04 jul 2018, 08:15
Ort: Australien

Re: Volvo N7 med framflyttad axel

Inläggav Bo Norvinge » 02 maj 2019, 08:44

N-serien med framflyttad framaxel var avsedd för Australien och även USA där jag tror de fanns längre.
Googla "Volvo N10 USA" så dyker det upp en del.
Däremot har jag för mig att Brasilien använde de vanliga N-bilarna.

N10_USA.jpg
N10_USA.jpg (221.11 KiB) Visad 13654 gånger
Med vänlig hälsning
Bo Norvinge

Hemsida: www.norvinge.se * Mail: bosse@norvinge.se * Tel: 070-587 38 67
Användarvisningsbild
Bo Norvinge
 
Inlägg: 2825
Blev medlem: 23 mar 2007, 13:03
Ort: Brålanda, Hedekas

Re: Volvo N7 med framflyttad axel

Inläggav Per Thomson » 02 maj 2019, 08:56

Förekom de aldrig i Sverige?
Vi hade ju broparagrafen (§106) och Volvo tog ju fram både G88 och G88:orna, varför inte med N-bilarna kan man undra?
Hälsningar
Per Thomson
Användarvisningsbild
Per Thomson
Site Admin
 
Inlägg: 7555
Blev medlem: 22 mar 2007, 23:11
Ort: Råå

Re: Volvo N7 med framflyttad axel

Inläggav Bo Norvinge » 02 maj 2019, 09:05

Några eller i alla fall någon fanns här, men den jag vet om hade tagits tillbaka från USA.
När användes §106 mer exakt?
Kan det ha varit 1970-73?
Det fanns ju inga Scania LK här heller.
Med vänlig hälsning
Bo Norvinge

Hemsida: www.norvinge.se * Mail: bosse@norvinge.se * Tel: 070-587 38 67
Användarvisningsbild
Bo Norvinge
 
Inlägg: 2825
Blev medlem: 23 mar 2007, 13:03
Ort: Brålanda, Hedekas

Re: Volvo N7 med framflyttad axel

Inläggav Per Thomson » 02 maj 2019, 11:05

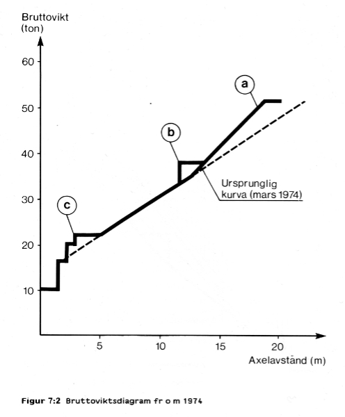
Broparagrafen tror jag kom till under slutet av 50 talet och hade då beteckning §54. Den kom att modifieras under årens lopp beroende på införande av höjda axel o boggitryck. Mot slutet av 60-talet skärptes övervakningen och många släpvagnar fick ställas åt sidan eller byggas om. Tidigare hade ingen brytt sig om denna paragraf, man "plockade" på så många axlar och boggier man ansåg att det behövdes. Den hårda tillämpningen innebar även att vissa utlandsekipage blev olagliga, men ca 1974 infördes en "puckel" i bruttoviktsdiagrammet efter protester från andra länder (se "b" i diagrammet).
Bruttovikten höjdes i två steg under 1990 talet, från 51,4 ton, först 56 sedan till 60 ton. Vid den senare höjningen justerades erforderligt axelavstånd för att uppnå max bruttovikt till ca 18,5 m. Med den justeringen försvann behovet av G-modeller mot tidigare orealistiska krav på 22 m axelavstånd inom 24 m total fordonslängd.

029TFK_Brutto60001.jpg
029TFK_Brutto60001.jpg (61.65 KiB) Visad 13639 gånger
Hälsningar
Per Thomson
Användarvisningsbild
Per Thomson
Site Admin
 
Inlägg: 7555
Blev medlem: 22 mar 2007, 23:11
Ort: Råå

Re: Volvo N7 med framflyttad axel

Inläggav Bo Norvinge » 03 maj 2019, 08:43

Jag spekulerar i att Volvo inte brydde sig om att marknadsföra N-vagnar med framflyttad axel här då reglerna justerades kring 74. Lika så Scania då deras LK väl blev klar vid den tiden.
Vad pekar a och c på?
Med vänlig hälsning
Bo Norvinge

Hemsida: www.norvinge.se * Mail: bosse@norvinge.se * Tel: 070-587 38 67
Användarvisningsbild
Bo Norvinge
 
Inlägg: 2825
Blev medlem: 23 mar 2007, 13:03
Ort: Brålanda, Hedekas

Re: Volvo N7 med framflyttad axel

Inläggav Per Thomson » 03 maj 2019, 08:57

Nja, det den viktigaste justeringen när det gäller minskat krav på axelavstånd kom i samband med höjningen från 56 till 60 ton år 1993 (a-kurvan i bilden).
Höjningen 74 hade bara utlandstrailers nytta av, de fick ju inte ha totallängd större än 15 m (b-puckeln).
Men N-bilarna hade nog inget större överhäng framåt väl?
Nedre vänstra delen av kurvan (c-delen) visar först axeltryck, sedan boggitryck 16, 20 o 24 ton antar jag.
Diagrammets undertext är nog fel, a-delen var nog bara förslag 1974 och den streckade linjen gällde.
Hälsningar
Per Thomson
Användarvisningsbild
Per Thomson
Site Admin
 
Inlägg: 7555
Blev medlem: 22 mar 2007, 23:11
Ort: Råå

Re: Volvo N7 med framflyttad axel

Inläggav Per Thomson » 03 maj 2019, 12:22

Maxad kombination under 51,4 tons tiden 1974 - 1989.
Överhänget framför framaxeln var inte så stort.

OBS, notera att jag infört kompletteringar i föregående inlägg.

625_Boliden_033.jpg
625_Boliden_033.jpg (261.67 KiB) Visad 13571 gånger
Hälsningar
Per Thomson
Användarvisningsbild
Per Thomson
Site Admin
 
Inlägg: 7555
Blev medlem: 22 mar 2007, 23:11
Ort: Råå

Re: Volvo N7 med framflyttad axel

Inläggav Per Thomson » 03 maj 2019, 19:09

Så fel jag kan ha :oops:
18,5 m räckte redan 1972 för 51,4 (Vägtrafikkungörelsen 1972:603).
Så behovet av G-modeller (Volvo) försvann redan 1972 och för utrikesfordon 1974, rätt Bosse!
Däremot infördes en generösare höjning av §106 för den nedre delen av bruttoviktskurvan så att en trippel medgav 24 ton mot tidigare 22 ton, samt att 4-axlade bilar kunde få utnyttja sin 4:de axel, tror det var 32 ton, liksom att det även blev möjligt med 4 -axliga trailers till 36 tons sammanlagt axelvikt (tidigare behövdes 9,4 m axelavstånd för 3 x 10 ton).
Nyttig repetition för mig. :lol:
Hälsningar
Per Thomson
Användarvisningsbild
Per Thomson
Site Admin
 
Inlägg: 7555
Blev medlem: 22 mar 2007, 23:11
Ort: Råå

Re: Volvo N7 med framflyttad axel

Inläggav Bo Norvinge » 03 maj 2019, 20:18

Bra att fått rett ut detta.
Då har vi förklaringen varför N-bilar (fr 1973) eller Scania LK (fr 1975) med framflyttad framaxel aldrig kom hit.
Med vänlig hälsning
Bo Norvinge

Hemsida: www.norvinge.se * Mail: bosse@norvinge.se * Tel: 070-587 38 67
Användarvisningsbild
Bo Norvinge
 
Inlägg: 2825
Blev medlem: 23 mar 2007, 13:03
Ort: Brålanda, Hedekas

Re: Volvo N7 med framflyttad axel

Inläggav Per Thomson » 04 maj 2019, 08:00

Diagrammets b-puckel fanns inte då jag var åkare på 60-talet fram till 1970 vilket innebar problem för mig då en trailerkombination inte fick vara längre än 15 m. På kontinenten var det godkänt med 22 ton lastförmåga men i Sverige innebar det 4 ton överlast. :cry:
Hälsningar
Per Thomson
Användarvisningsbild
Per Thomson
Site Admin
 
Inlägg: 7555
Blev medlem: 22 mar 2007, 23:11
Ort: Råå


Återgå till Allmänt Veteransnack

Vilka är online

Användare som besöker denna kategori: Inga registrerade användare och 10 gäster